Download Original PDF

Get the official Barkatullah University print version scanned document.

Download/Print

🤝 Help Your Juniors!

Have previous year question papers that aren't on our website? Help the next batch of students by sending them to us! With your consent, we will proudly feature your name as a Top Contributor on our platform.

Submit Papers 📩
Roll No. ........................
Total No. of Questions : 05
Total No. of Printed Pages : 07

RL-33

B.Sc.-B.Ed. (Secondary) (RIE)

Examination, 2025

(First Semester)

MATHEMATICS

DC-I

(Major)

Algebra and Trigonometry

Time : 3 Hours
[Maximum Marks : 60]

नोट : सभी प्रश्न अनिवार्य हैं । प्रत्येक प्रश्न के किन्हीं दो भागों के उत्तर दीजिए । सभी प्रश्नों के अंक समान हैं ।

All questions are compulsory. Attempt any two parts from each question. All questions carry equal marks.

1.

Prove that for any square matrix A with real number entries, A + A' is a symmetric matrix and A - A' is a skew symmetric matrix.

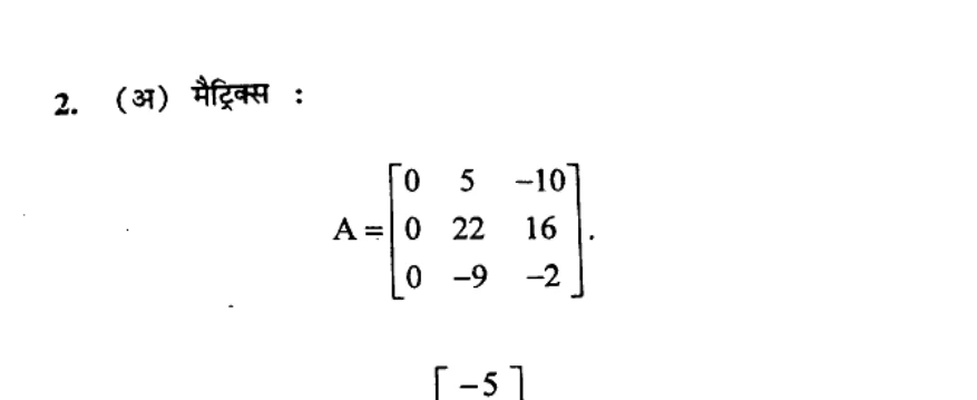
(अ)

दिए गए मैट्रिक्स A के लिए, निर्धारित कीजिए कि मैट्रिक्स की पंक्तियाँ रैखिक रूप से आश्रित हैं या नहीं :

For the given matrix A, determine whether the rows of matrix are linearly dependent or not :

Diagram for Question
(ब)

सिद्ध कीजिए कि वास्तविक संख्या प्रविष्टियों वाले किसी भी वर्ग मैट्रिक्स A के लिए, A + A' एक सममित मैट्रिक्स है और A – A' एक विषम सममित मैट्रिक्स है ।

Prove or disprove that the rank of a matrix with all entries equal to 1 is always 1.

2.
(अ)

k का मान ज्ञात कीजिए जैसे कि :

Diagram for Question

प्रणाली सुसंगत है ।

Find the value of k such that :

Diagram for Question

the system is consistent.

(ब)

निम्न मैट्रिक्स के लिए कैली-हैमिल्टन प्रमेय को सत्यापित कीजिए :

Verify the Cayley-Hamilton theorem for the matrix :

Diagram for Question
(स)

मैट्रिक्स : के लिए V एक आइगेन सदिश है ?

Diagram for Question

के लिए

Diagram for Question

एक आइगेन सदिश है ?

यदि हाँ, तो संगत आइगेन मान ज्ञात कीजिए ।

For the matrix :

Diagram for Question

Is

Diagram for Question

a eigen vector ?

If yes, find corresponding eigen value.

3.
(अ)

देकार्ते के चिह्नों के नियम का उपयोग करके x³ + 7x² + 4 के वास्तविक मूलों की संख्या ज्ञात कीजिए ।

Find the number of real roots of x³ + 7x² + 4 using Descartes's rule of signs.

(ब)

कार्डन की विधि का उपयोग करके घन समीकरण हल कीजिए :

x³ − 27x − 54 = 0.

Solve the cubic equation using Cardon's method :

x³ − 27x − 54 = 0.

(स)

द्विघात समीकरण को परिभाषित कीजिए । द्विघात समीकरण x⁴ − 8x² + 16 = 0 के मूल α, −α, β, −β, हैं, मूल 1/α, −1/α, 1/β और −1/β वाले द्विघात समीकरण को ज्ञात कीजिए ।

Define Biquadratic equation. Biquadratic equation x⁴ − 8x² + 16 = 0 has roots α, −α, β, −β, find the Biquadratic equation having roots 1/α, −1/α, 1/β and −1/β.

4.
(अ)

डीमोइव्रे के सूत्र को बताइए और सिद्ध कीजिए ।

State and prove Demoivre's formula.

(ब)

डीमोइव्रे के सूत्र का उपयोग करके, यूनिटी के घनमूल ज्ञात कीजिए ।

Using Demoivre's formula, find the cube roots of unity.

(स)

सिद्ध कीजिए कि :

sinh(x+y) = sinh(x)cosh(y) + cosh(x)sinh(y).

Prove that :

sinh(x+y) = sinh(x)cosh(y) + cosh(x)sinh(y).

5.
(अ)

log(−1 + i) का व्यापक हल ज्ञात कीजिए ।

Find the general value of log(−1 + i).

(ब)

सिद्ध कीजिए कि :

16 sin⁵θ = sin 5θ − 5 sin 3θ + 10 sin θ.

Prove that :

16 sin⁵θ = sin 5θ − 5 sin 3θ + 10 sin θ.

(स)

माधव-ग्रेगरी-लाइब्नित्ज श्रृंखला का उपयोग करके π/4 का विस्तार कीजिए । व्युत्क्रम स्पर्शज्या श्रृंखला का उपयोग करके माधव श्रृंखलाओं के लिए सूत्र भी सिद्ध कीजिए ।

Expand π/4 using Madhava-Gregory-Leibnitz series. Also prove the formula for Madhava series using inverse tangent series.