Download Original PDF
Get the official Barkatullah University print version scanned document.
đ¤ Help Your Juniors!
Have previous year question papers that aren't on our website? Help the next batch of students by sending them to us! With your consent, we will proudly feature your name as a Top Contributor on our platform.
Submit Papers đŠEF-467
M.A/M.Sc. IIIrd Semester (Reg./Pvt./ATKT)
Examination, 2021-22
Mathematics
Paper - X
Integral transform-I
Note:- Attempt all the questions.
SECTION - 'A'
Objective Type Questions
10x1.5=15
1. Choose the correct answer:
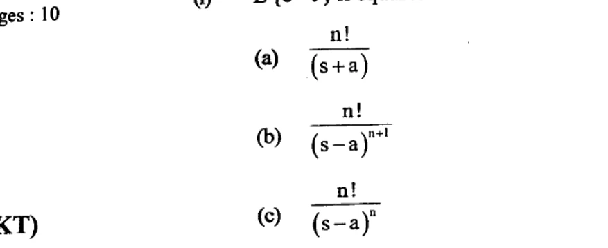
(i) L {eat} is equal to
(a)

(b)

(c)

(d)

(ii) L-1

(a) Cosat
(b) Coshat
(c) Sinat
(d) Sinht
(iii) L {y (t)} is equal to
(a) &bar;y(t)
(b) &bar;y(s)
(iv) In integral equation of the form

(a) Exact equation
(b) Convolution type
(c) Integro-differential equation
(d) Abel's equation
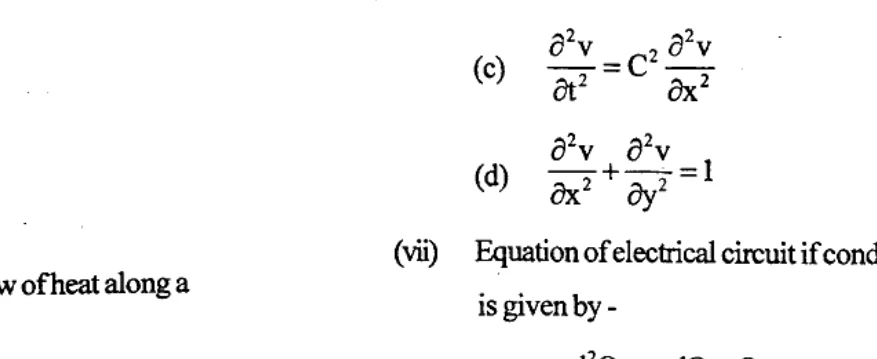
(v) The equation for one dimensional flow of heat along a bar is in the form
(a)

(b)

(c)

(d) None of these
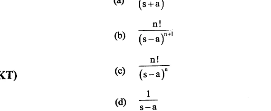
(vi) One dimensional wave equation is given by
(a)

(b)

(c)

(d)

(vii) Equation of electrical circuit if condenser is not present is given by -
(a)

(b)

(c)

(d)

(viii) In applications of Beams y=y'=0 denotes -
(a) Free end
(b) Clamped end
(c) Hinged end
(d) None of these
(ix) An equation of the type

(a) Two dimensional heat equation
(b) Heat equation in a cylindrical solid
(c) Laplace equations
(d) One dimensional heat equation
(x) L

(a)

(b)

(c)

(d) None of these
SECTION - 'B'
Short Answer Type Questions
5x5=25
2. Find

OR
Find

3. Solve the differential equation T''(t) + Y'(t) + rY(t) = 0 under the conditions that Y(0)=1 and Y(t) and its derivatives have transforms.
OR
Solve

4. Find the solution of two dimensional laplace's equation in cartesian coordinates by the method of separation of variables.
OR
A tightly stretched string fixed end points x = 0 and x = l is intially in a position given by y (x,0) = yo sin (πx/l). If it is released from rest from this position, find displacement y at any distance x from one end at any time t.
5. An alternating E.M.F. Esinωt is applied to an inductance and a capacitance C in series. Show that the current in the circuit is.

OR
A beam which is hinged at its ends x = 0 and x = l carries a uniform load wo per unit length. Find the deflection at any point.
6. Drive the equation for one dimensional flow of heat along a bar.
OR
Find the solution of the equation

- u = f(t) when x = 0, t > 0
- u = 0 when x > 0, t = 0
SECTION - 'C'
Long Answer Type Questions
9x5=45
7. If


OR
Apply the convolution theorem to show that

8. Using laplace transform, find the solution of y'' + 25y = 10 cos 5t, where y (0) = 2, y'(0) = 0
OR
Solve (D - 2) x - (D + 1) y = 6e3t
(2D - 3) x + (D - 3) y = 6e3t
x (0) = 3, y (0) = 0
9. Suppose that a uniform bar insulated over the sides has a tempreture distribution u = f(x) initially. Its ends foces x = 0 and x = 1 are suddenly coot ceoled at 0°C and miantained at that tempreture. Determine the subsequent tempreture at a subsequent time t
OR
An infinite long string having one end at x = 0 is initially at rest on the x - axis. The end x = 0 undergoes a periodic transverse displacement given by Ao Sin nt, t > 0. Find the displacement of any point on the string at t > 0.
10. An inductor of 3 henrys is in series with a resistance of 30 ohms and an e.m.f. of 150 volts. Assuming that t = 0 the cur rent is zero, find the current at time t > 0.
OR
A beam which is clamped at its ends x = 0, x = l carries a uniform load Wo per unit length. Show that the deflection at any point is

11. Determine the solution of one dimensional heat equation

under the boundary conditions θ (0,t) = 0.
θ (l,t) = 0, t > 0 and the initial condition θ (x,0) = x, 0 < x < l
l being the length of the bar.