Download Original PDF
Get the official Barkatullah University print version scanned document.
🤝 Help Your Juniors!
Have previous year question papers that aren't on our website? Help the next batch of students by sending them to us! With your consent, we will proudly feature your name as a Top Contributor on our platform.
Submit Papers 📩Roll No. ........
Total No. of Questions: 11
[Total No. of Printed Pages: 8
MN-467
M.A/M.Sc. IIIrd Semester (Reg./PVT./ATKT)
Examination, 2023-24
Mathematics
Paper - X
Integral transform-I
Time: 3 Hours]
[Maximum Marks: Reg.= 85
Pvt.= 100
Note:- Attempt all the questions.
SECTION - 'A'
Objective Type Questions
10x1½=15
1. Choose the correct answer:
(i) L (sin at) =
(a)

(b)

(c)

(d)

(ii) The Laplace transform of the function f(x) = 1 is:
(a) 1/p, p > 0
(b) 1/p+1, p > 0
(c) p, p > 1
(d) 1/p-1, p > 1
(iii) If L (F(t) = f(p), then L {F' (t)} =
(a) pf (p) + F (o)
(b) f (p) + pF (o)
(c) pf (p) F (o)
(d) f (p) – p F (o)
(iv)

(a) 0
(b) π / 4
(c) π / 2
(d) π
(v) If (D² - 2D + 2) y = 0 and y = 1 Dy at t = 0 then y =
(a) eᵗ cos t
(b) eᵗ sin t
(c) e⁻ᵗ cos t
(d) e⁻ᵗ sin t
(vi) L

(a)

(b) 0
(c) 1
(d) - 1
(vii) L⁻¹ (1/p-2) =
(a) e⁻²ᵗ
(b) e²ᵗ
(viii) Equation of vibrating membrane is.
(a)

(b)

(c)

(d)

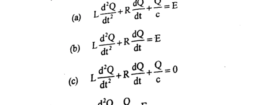
(ix) Equation of electric circuit without condenser is:
(a)

(b)

(c)

(d)

(x) Two dimensional heat conduction equation is :
(a)

(b)

(c)

(d)

SECTION - 'B'
Short Answer Type Questions
5x5=25
2. Evaluate L⁻¹

OR
Find the Laplace transform of √t.
3. Solve (D² - 3D + 2) y = 1 - e⁻²ᵗ, y = 1, D (y) = 0 when t = 0
OR
Solve ∫₀ᵗ

4. Find the solution of two dimensional Laplace's equation in polar form.
OR
A tightly stretched string with fixed end - points x = 0 and x = l is initially displaced in a sinusoidal arch of height y₀ and then released from rest. Find the displacement y at any distance x from one and at time t.
5. An inductor of 3 henrys is in series with a resistance of 30 Ohms and an e.m.f. of 150 volts. Assuming that t = 0 the current is zero find the current at time t > 0.
OR
Write the boundary conditions for a beam when its ends are clamped, hinged and free.
6. Find the temperature u (x, t) in a bar whose ends x = 0, x = l are kept of temperature zero and whose initial temperature f (x) = sin xπ/l.
OR
A semi infinite solid x > 0 initially at temperature zero. At time t = 0, a constant temperature u₀ > 0 is applied and maintained at the face x = 0. Find the temperature at any point of the solid at any time t > 0.
SECTION - 'C'
Long Answer Type Questions
9x5=45
7. Prove that

OR
State & prove the convolution theorem.
8. Solve

y (0) = 1, y' (0) = 1
OR
Solve
(D-2)x - (D+1)y = 6e³ᵗ
(2D-3)x + (D-3)y = 6e³ᵗ
x (0) = 3, y (0) = 0
9. Determine the steady state temperature in a thin plate bounded by the lines x = 0, x = l, y = 0 y = b, the edges x = 0, x = l, y = 0 are maintained at temperature zero, where as the edge y = b is kept at temperature F (x).
OR
A string is stretched between two fixed points (0,0) and (l,0). If it is displaced into curve y = b sin (πx/c) and released from rest in that position at time t = 0. Find its displacement at any time t and at any point 0 < x < c.
10. An inductor of 3 henrys is in series with a resistance of 30 ohms and an e.m.f. of 150 sin 20 t volts. Assuming that at t = 0 the current is zero, find the current at any time t > 0.
OR
A beam which is simply supported at its ends x = 0 and x = l carries a uniform load W₀ per unit length. Find the deflection at any point.
11. To find the temperature u (x, t) in a bar of length l which is perfectly insulated also at the ends x = 0 and x = l assuming that the initial temperature of bar is u (x, 0) = f(x)
OR
A semi - infinite solid x > 0 initially at temperature zero. At time t = 0, a constant temperature u₀ > 0 is applied and maintained at the face x = 0. Find the temperature at any point of the solid at any time t > 0.