Download Original PDF

Get the official Barkatullah University print version scanned document.

Download/Print

ЁЯдЭ Help Your Juniors!

Have previous year question papers that aren't on our website? Help the next batch of students by sending them to us! With your consent, we will proudly feature your name as a Top Contributor on our platform.

Submit Papers ЁЯУй
[Total No. of Questions : 11]
[Total No. of Printed Pages : 7]
рдЦрдгреНрдб - 'рдЕ'
SECTION - 'A'
рд╡рд╕реНрддреБрдирд┐рд╖реНрда рдкреНрд░рд╢реНрди
Objective Type Questions
10├Ч1┬╜=15
MN-397
M.Sc. IIIrd Semester (Reg/ATKT)
Examination, 2023-24
Chemistry
Paper - II
Photo Chemistry
Time : 3 Hours]
[Maximum Marks : 85
рдиреЛрдЯ :- рд╕рднреА рдкреНрд░рд╢реНрди рдЕрдирд┐рд╡рд╛рд░реНрдп рд╣реИ -
Note :- Attempt all the questions.
1.
Choose the correct answer :
рд╕рд╣реА рдЙрддреНрддрд░ рдХрд╛ рдЪрдпрди рдХреАрдЬрд┐рдП :
(i) It's represents the total number of electron spins, then spin multiplicity is given by:
рдпрджрд┐ S рдЗрд▓реЗрдХреНрдЯреНрд░реЙрди рд╕реНрдкрд┐рди рдХреА рдХреБрд▓ рд╕рдВрдЦреНрдпрд╛ рдХрд╛ рдкреНрд░рддрд┐рдирд┐рдзрд┐рддреНрд╡ рдХрд░рддрд╛ рд╣реИ, рддреЛ рд╕реНрдкрд┐рди рдмрд╣реБрд▓рддрд╛ рдЗрд╕ рдкреНрд░рдХрд╛рд░ рджреА рдЬрд╛рддреА рд╣реИ :
(a) (2s + 1)
(рдЕ) (2s + 1)
(b) (3s + 1)
(рдм) (3s + 1)
(c) (s + 1)
(рд╕) (s + 1)
(d) (2s + 2)
(рдж) (2s + 2)
(ii) Quantum yield of the photo dissociation reaction of HI in primary process is:
рдкреНрд░рд╛рдердорд┐рдХ рдкреНрд░рдХреНрд░рд┐рдпрд╛ рдореЗрдВ HI рдХреА рдлреЛрдЯреЛ рдкреГрдердХреНрдХрд░рдг рдкреНрд░рддрд┐рдХреНрд░рд┐рдпрд╛ рдХреА рдХреНрд╡рд╛рдВрдЯрдо рдЙрдкрдЬ рд╣реИ :
(a) 1├Ч102
(рдЕ) 1├Ч102
(b) 1├Ч105
(рдм) 1├Ч105
(c) 1.00
(рд╕) 1.00
(d) 0.1
(рдж) 0.1
(iii) Which one the naturally occurring photochemical reaction :
рдкреНрд░рд╛рдХреГрддрд┐рдХ рд░реВрдк рд╕реЗ рд╣реЛрдиреЗ рд╡рд╛рд▓реА рдлреЛрдЯреЛрдХреЗрдорд┐рдХрд▓ рдкреНрд░рддрд┐рдХреНрд░рд┐рдпрд╛ рдХреМрди-рд╕реА рд╣реИ
(a) Photochemistry of vision
(рдЕ) рджреГрд╖реНрдЯрд┐ рдХреА рдлреЛрдЯреЛрдХреЗрдорд┐рд╕реНрдЯреНрд░реА
(b) Photodegradation of polymer
(рдм) рдкрд╛рд▓рд┐рдорд░ рдХрд╛ рдлреЛрдЯреЛрдбрд┐рдЧреНрд░реЗрдбреЗрд╢рди
(c) Photosynthesis
(рд╕) рдкреНрд░рдХрд╛рд╢ рд╕рдВрд╢реНрд▓реЗрд╖рдг
(d) All the above
(рдж) рдЙрдкрд░реЛрдХреНрдд рд╕рднреА
(iv) A тЖТ B hvтЖТ A' + B is the example of :
.......... рдХрд╛ рдПрдХ рдЙрджрд╛рд╣рд░рдг рд╣реИ
(a) Photoreduction
(рдЕ) рдлреЛрдЯреЛрд░реЗрдбрдХреНрд╕рди
(b) Photooxidation
(рдм) рдлреЛрдЯреЛрдСрдХреНрд╕реАрдХрд░рди
(c) Photodissociation
(рд╕) рдлреЛрдЯреЛрдбрд┐рд╕реЛрд╕рд┐рд╕рд┐рдПрд╢рди
(v)
(d) None of the above
A тЖТ B hvтЖТ A' + B рдЗрд╕рдХрд╛ рдПрдХ рдЙрджрд╣рд╛рд░рдг рд╣реИ
(рдЕ) рдлреЛрдЯреЛрд░реЗрдбрдХреНрд╕рди
(рдм) рдлреЛрдЯреЛрдСрдХреНрд╕реАрдХрд░рди
(рд╕) рдлреЛрдЯреЛрдбрд┐рд╕реЛрд╕рд┐рд╕рд┐рдПрд╢рди
(рдж) рдЙрдкрд░реЛрдХреНрдд рдореЗрдВ рд╕реЗ рдХреЛрдИ рдирд╣реАрдВ
Diagram for Question

(a)
Diagram for Question
(b)
Diagram for Question
(c)
Diagram for Question
(d)
Diagram for Question
(vi) Photo-fries rearrangement is an ................. process
рдлреЛрдЯреЛ-рдлреНрд░реАрдЬ рдкреБрдирд░реНрд╡реНрдпрд╡рд╕реНрдерд╛ рдПрдХ ................. рдкреНрд░рдХреНрд░рд┐рдпрд╛ рд╣реИред
(a) Intramolecular free radical
(рдЕ) рдЗрдВрдЯреНрд░рд╛рдореЙрд▓рд┐рдХреНрдпреВрд▓рд░ рдлреНрд░реА рд░реЗрдбрд┐рдХрд▓
(b) Intramolecular cationic
(рдм) рдЗрдВрдЯреНрд░рд╛рдореЙрд▓рд┐рдХреНрдпреВрд▓рд░ рдзрдирд╛рдпрдирд┐рдд
(c) Intramolecular anionic
(рд╕) рдЗрдВрдЯреНрд░рд╛рдореЙрд▓рд┐рдХреНрдпреВрд▓рд░ рдЛрдгрд╛рдпрдирд┐рдХ
(d) Intramolecular
(рдж) рдЗрдВрдЯреНрд░рд╛рдореЙрд▓рд┐рдХреНрдпреВрд▓рд░
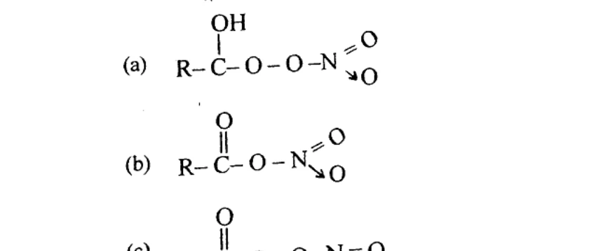
(vii) The formula structure of PAN is:
PAN рдХреА рд╕реВрддреНрд░ рд╕рдВрд░рдЪрдирд╛ рд╣реИ :
(a)
Diagram for Question
(b)
Diagram for Question
(c)
Diagram for Question
(d)
Diagram for Question
(viii) The sensory elements in human retina responsible for colour vision are
рдорд╛рдирд╡ рд░реЗрдЯрд┐рдирд╛ рдореЗрдВ рд░рдВрдЧ рджреГрд╖реНрдЯрд┐ рдХреЗ рд▓рд┐рдП рдЙрддреНрддрд░рджрд╛рдпреА рд╕рдВрд╡реЗрджреА рддрддреНрд╡ рд╣реИ
(a) cones
(рдЕ) рд╢рдВрдХреБ
(b) Rods
(рдм) рдЫрдбрд╝реЗрдВ
(c) Retinal
(рд╕) рд░реЗрдЯрд┐рдирд▓
(d) All the above
(рдж) рдЙрдкрд░реЛрдХреНрдд рд╕рднреА
(ix) Which one of the following act as donor in energy trans-fer during photochemical reaction
рдирд┐рдореНрдирд▓рд┐рдЦрд┐рдд рдореЗрдВ рд╕реЗ рдХреМрди рдлреЛрдЯреЛрдХреЗрдорд┐рдХрд▓ рдкреНрд░рддрд┐рдХреНрд░рд┐рдпрд╛ рдХреЗ рджреМрд░рд╛рди рдКрд░реНрдЬрд╛ рд╣рд╕реНрддрд╛рдВрддрд░рдг рдореЗрдВ рджрд╛рддрд╛ рдХреЗ рд░реВрдк рдореЗрдВ рдХрд╛рд░реНрдп рдХрд░рддрд╛ рд╣реИ
(a) Butadiene
(рдЕ) рдмреВрдЯрд╛рдбрд╛рдЗрди
(b) Benzophenone
(рдм) рдмреЗрдиреНрдЬрд╝реЛрдлреАрди
(c) Ethylene
(рд╕) рдПрдерд┐рд▓реАрди
(d) Butene
(рдж) рдмреНрдпреВрдЯреЗрди
(x) The structure of fulvene is :
рдлреБрд▓рд╡реАрди рдХреА рд╕рдВрд░рдЪрдирд╛ рд╣реИ :
(a)
Diagram for Question
(b)
Diagram for Question
(c)
Diagram for Question
(d)
Diagram for Question
рдЦрдгреНрдб - 'рдм'
SECTION - 'B'
рд▓рдШреБ рдЙрддреНрддрд░реАрдп рдкреНрд░рд╢реНрди
Short Answer Type Questions
5├Ч5=25
2.
Define quantum yield and explain the factors affecting the quan-tum yield.
рдХреНрд╡рд╛рдВрдЯрдо рдЙрдкрдЬ рдХреЛ рдкрд░рд┐рднрд╛рд╖рд┐рдд рдХрд░реЗрдВ рдФрд░ рдХреНрд╡рд╛рдВрдЯрдо рдЙрдкрдЬ рдХреЛ рдкреНрд░рднрд╛рд╡рд┐рдд рдХрд░рдиреЗ рд╡рд╛рд▓реЗ рдХрд╛рд░рдХреЛрдВ рдХреА рд╡реНрдпрд╛рдЦреНрдпрд╛ рдХрд░реЗрдВред
рдЕрдерд╡рд╛/OR
Calculate the number of moleculer of chlorine which get acti-vated by adsorption of 10 MeV energy from a radiation of wavelength 3000 ├Е quantum yield of the reaction is 105.
рдХреНрд▓реЛрд░рд┐рди рдХреЗ рдЕрдгреБрдУрдВ рдХреА рд╕рдВрдЦреНрдпрд╛ рдХреА рдЧрдгрдирд╛ рдХрд░реЗрдВ рдЬреЛ рддрд░рдВрдЧ рджреИрд░реНрдзреНрдп 3000 ├Е рдХреЗ рд╡рд┐рдХрд┐рд░рдг рд╕реЗ 10 MeV рдКрд░реНрдЬрд╛ рдХреЗ рд╕реЛрдЦрдиреЗ рд╕реЗ рд╕рдХреНрд░рд┐рдП рд╣реЛ рдЬрд╛рддреЗ рд╣реИ, рдкреНрд░рддрд┐рдХреНрд░рд┐рдпрд╛ рдХреА рдХреНрд╡рд╛рдВрдЯрдо рдЙрдкрдЬ 105 рд╣реИред
3.
Explain the effect of light intensity on the rate of photochemical ractions.
рдкреНрд░рдХрд╛рд╢ рд░рд╛рд╕рд╛рдпрдирд┐рдХ рдЕрднрд┐рдХреНрд░рд┐рдпрд╛рдУрдВ рдХреА рджрд░ рдкрд░ рдкреНрд░рдХрд╛рд╢ рдХреА рддреАрд╡реНрд░рддрд╛ рдХреЗ рдкреНрд░рднрд╛рд╡ рдХреА рд╡реНрдпрд╛рдЦреНрдпрд╛ рдХрд░реЗрдВред
рдЕрдерд╡рд╛/OR
Derive rate law for photochemical reactions.
рдкреНрд░рдХрд╛рд╢ рд░рд╛рд╕рд╛рдпрдирд┐рдХ рдЕрднрд┐рдХреНрд░рд┐рдпрд╛рдУрдВ рдХреЗ рд▓рд┐рдП рджрд░ рдирд┐рдпрдо рд╡реНрдпреБрддреНрдкрдиреНрди рдХрд░реЗрдВ ред
4.
Complete the reaction
рдкреНрд░рддрд┐рдХреНрд░рд┐рдпрд╛ рдкреВрд░реНрдг рдХрд░реЗрдВ
(i)
Diagram for Question
(ii)
Diagram for Question
рдЕрдерд╡рд╛/OR
Discuss photochemical rearrangement of 1-4 Dienes,
1-4 рдбрд╛рдпрдиреАрд╕ рдХреА рдлреЛрдЯреЛрдХреЗрдорд┐рдХрд▓ рдкреБрдирд░реНрд╡реНрдпрд╡рд╕реНрдерд╛ рдкрд░ рдЪрд░реНрдЪрд╛ рдХрд░реЗрдВред
5.
Write note on (any one):
рдХрд┐рд╕реА рдПрдХ рдкрд░ рдиреЛрдЯ рд▓рд┐рдЦрд┐рдП -
(a) Photo dimerization of carbonyl compounds
(a) рдХрд╛рд░реНрдмреЛрдиреАрд▓ рдпреМрдЧрд┐рдХреЛрдВ рдХрд╛ рдлреЛрдЯреЛ рдбрд┐рдорд░рдЗрдЬреЗрд╢рди
(b) Cyclohexadienones
(b) рд╕рд╛рдЗрдХреНрд▓реЛрд╣реЗрдХреНрд╕рд╛рдбрд╛рдЗрдиреЛрдиреНрд╕
6.
Suggest the mechanism of conversion of Hexan-2-nitrile into a mixture of unsaturated alcohols on photolysis.
рдлреЛрдЯреЛрд▓рд╛рдЗрд╕рд┐рд╕ рдкрд░ рд╣реЗрдХреНрд╕реЗрди-2-рдирд╛рдЗрдЯреНрд░рд╛рдЗрд▓ рдХреЛ рдЕрд╕рдВрддреГрдкреНрдд рдЕрд▓реНрдХреЛрд╣рд▓ рдХреЗ рдорд┐рд╢реНрд░рдг рдореЗрдВ рдмрджрд▓рдиреЗ рдХреА рдХреНрд░рд┐рдпрд╛рд╡рд┐рдзрд┐ рдХрд╛ рд╕реБрдЭрд╛рд╡ рджреЗрдВ ред
рдЕрдерд╡рд╛/OR
Write short note on photochemistry of vision.
рджреГрд╖реНрдЯрд┐ рдХреА рдкреНрд░рдХрд╛рд╢ рд░рд╕рд╛рдпрди рдкрд░ рд╕рдВрдХреНрд╖рд┐рдкреНрдд рдЯрд┐рдкреНрдкрдгреА рд▓рд┐рдЦрд┐рдП ред
рдЦрдгреНрдб - 'рд╕'
SECTION - 'C'
рджреАрд░реНрдШ рдЙрддреНрддрд░реАрдп рдкреНрд░рд╢реНрди
Long Answer Type Questions
9├Ч5=45
7.
Draw and explain Jablonski diagram predicting various physi-cal processes occurring in the electronic excited state of mol-ecule.
рдЕрдгреБ рдХреА рдЗрд▓реЗрдХреНрдЯреНрд░реЙрдирд┐рдХ рдЙрддреНрддреЗрдЬрд┐рдд рдЕрд╡рд╕реНрдерд╛ рдореЗрдВ рд╣реЛрдиреЗ рд╡рд╛рд▓реА рд╡рд┐рднрд┐рдиреНрди рднреМрддрд┐рдХ рдкреНрд░рдХреНрд░рд┐рдпрд╛рдУрдВ рдХреА рднрд╡рд┐рд╖реНрдпрд╡рд╛рдгреА рдХрд░рдиреЗ рд╡рд╛рд▓рд╛ рдЬрд╛рдмреНрд▓реЛрдиреНрд╕реНрдХреА рдЖрд░реЗрдЦ рдмрдирд╛рдПрдВ рдФрд░ рд╕рдордЭрд╛рдПрдВред
рдЕрдерд╡рд╛/OR
Write notes on :-
(a) Singlet and triplet excited state
(a) рдПрдХрд▓ рдФрд░ рддреНрд░рд┐рдЧреБрдгрд┐рдд рдЙрддреНрддреЗрдЬрд┐рдд рдЕрд╡рд╕реНрдерд╛
(b) Calculate the value of an Einstein in Joules.
(b) рдЬреВрд▓ рдореЗрдВ рдПрдХ рдЖрдЗрдВрд╕реНрдЯреАрди рдХреЗ рдореВрд▓реНрдп рдХреА рдЧрдгрдирд╛ рдХрд░реЗрдВред
рдЗрд╕ рдкрд░ рдиреЛрдЯ рд▓рд┐рдЦреЗрдВ :-
8.
Match the following reaction and give the reason
рдирд┐рдореНрдирд▓рд┐рдЦрд┐рдд рдкреНрд░рддрд┐рдХреНрд░рд┐рдпрд╛ рдХрд╛ рдорд┐рд▓рд╛рди рдХрд░реЗрдВ рдФрд░ рдХрд╛рд░рдг рдмрддрд╛рдПрдВ
(i) Photopolymerisation -A=B- hvтЖТ H2 H H H -A -B -
рдлреЛрдЯреЛрдкреЙрд▓реАрдорд░рд╛рдЗрдЬреЗрд╢рди
(ii) Photooxidation A=B+C-H hvтЖТ H A-B-C
рдлреЛрдЯреЛрдСрдХреНрд╕реАрдбреЗрд╢рди
(iii) Photoreduction n(A=B) hvтЖТ [A-B]n
рдлреЛрдЯреЛрд░рд┐рдбрдХреНрд╢рди
(iv) Photoisomerisation -A=B- hvтЖТ OOH O2 -A-B
рдлреЛрдЯреЛ рдЖрдЗрд╕реЛрдореЗрд░рд╛рдЗрдЬреЗрд╢рди
(v) Photoaddition a-A-B-b hvтЖТ B-A b a
рдлреЛрдЯреЛ рдЬреЛрдбрд╝
рдЕрдерд╡рд╛/OR
Derive the relation between rate constant of photochemical reaction and life time of reactive energy state of reactant.
рдлреЛрдЯреЛрдХреЗрдорд┐рдХрд▓ рдкреНрд░рддрд┐рдХреНрд░рд┐рдпрд╛ рдХреА рджрд░ рд╕реНрдерд┐рд░рд╛рдВрдХ рдФрд░ рдЕрднрд┐рдХрд╛рд░рдХ рдХреА рдкреНрд░рддрд┐рдХреНрд░рд┐рдпрд╛рд╢реАрд▓ рдКрд░реНрдЬрд╛ рдЕрд╡рд╕реНрдерд╛ рдХреЗ рдЬреАрд╡рди рдХрд╛рд▓ рдХреЗ рдмреАрдЪ рд╕рдВрдмрдВрдз рдкреНрд░рд╛рдкреНрдд рдХрд░реЗрдВ ред
9.
Give reaction mechanism of following reaction :
рдирд┐рдореНрдирд▓рд┐рдЦрд┐рдд рдкреНрд░рдХрд╛рд╢ рд░рд╛рд╕рд╛рдпрдирд┐рдХ рдЕрднрд┐рдХреНрд░рд┐рдпрд╛ рдХреА рдХреНрд░рд┐рдпрд╛рд╡рд┐рдзрд┐ рд▓рд┐рдЦрд┐рдП
(a)
Diagram for Question
(b)
Diagram for Question
рдЕрдерд╡рд╛/OR
Write notes on :-
рдЗрд╕ рдкрд░ рдиреЛрдЯреНрд╕ рд▓рд┐рдЦреЗрдВ :-
(a) Geometrical isomerism in dienes
(рдЕ) рдбрд╛рдпрди рдореЗрдВ рдЬреНрдпрд╛рдорд┐рддреАрдп рд╕рдорд╛рд╡рдпрд╡рддрд╛
(b) Isomerisation of aromatic compounds
(рдм) рд╕реБрдЧрдВрдзрд┐рдд рдпреМрдЧрд┐рдХреЛрдВ рдХрд╛ рдЖрдЗрд╕реЛрдореЗрд░рд╛рдЗрдЬреЗрд╢рди
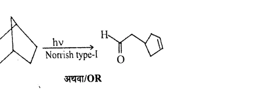
10.
Write down the mechanism of the following photochemical reaction ?
рдирд┐рдореНрдирд▓рд┐рдЦрд┐рдд рдкреНрд░рдХрд╛рд╢ рд░рд╛рд╕рд╛рдпрдирд┐рдХ рдЕрднрд┐рдХреНрд░рд┐рдпрд╛ рдХреА рдХреНрд░рд┐рдпрд╛рд╡рд┐рдзрд┐ рд▓рд┐рдЦрд┐рдП
Diagram for Question
рдЕрдерд╡рд╛/OR
Diagram for Question
11.
Write notes on (any two):
рдХреЛрдИ рджреЛ рдкрд░ рдиреЛрдЯреНрд╕ рд▓рд┐рдЦреЗрдВ
(a) Photodegradation of polymer.
(a) рдкрд╛рд▓рд┐рдорд░ рдХрд╛ рдлреЛрдЯреЛрдбрд┐рдЧреНрд░реЗрдбреЗрд╢рди
(b) Singlet-molecular oxygen reactions
(b) рдПрдХрд▓-рдЖрдгрд╡рд┐рдХ рдСрдХреНрд╕реАрдЬрди рдкреНрд░рддрд┐рдХреНрд░рд┐рдпрд╛рдПрдВ
(c) Photochemical formation of smog.
(c) рд╕реНрдореЙрдЧ рдХрд╛ рдлреЛрдЯреЛрдХреЗрдорд┐рдХрд▓ рдЧрдарди