Download Original PDF
Get the official Barkatullah University print version scanned document.
ЁЯдЭ Help Your Juniors!
Have previous year question papers that aren't on our website? Help the next batch of students by sending them to us! With your consent, we will proudly feature your name as a Top Contributor on our platform.
Submit Papers ЁЯУйрдЕрдерд╡рд╛ (Or)
Roll No. ............................
Total No. of Questions : 11
Total No. of Printed Pages : 16
UV-397
M.Sc. (REG./ATKT) Examination, 2025
(Third Semester)
CHEMISTRY
Paper-II
Photo Chemistry
Time : 3 Hours
[Maximum Marks : 85]
рдиреЛрдЯ : рд╕рднреА рддреАрдиреЛрдВ рдЦрдгреНрдбреЛрдВ рд╕реЗ рдкреНрд░рд╢реНрдиреЛрдВ рдХреЗ рдирд┐рд░реНрджреЗрд╢рд╛рдиреБрд╕рд╛рд░ рдЙрддреНрддрд░ рджреАрдЬрд┐рдПред
рдЕрдВрдХреЛрдВ рдХрд╛ рд╡рд┐рднрд╛рдЬрди рдЦрдгреНрдбреЛрдВ рдХреЗ рд╕рд╛рде рджрд┐рдпрд╛ рдЧрдпрд╛ рд╣реИ ред
Attempt questions of all the three Sections as directed. Distribution of marks is given with the Sections.
рдкреНрд░рдХрд╛рд╢ рдХреА рддреАрд╡реНрд░рддрд╛ рдХреЗ рдкреНрд░рдХрд╛рд╢-рд░рд╛рд╕рд╛рдпрдирд┐рдХ рдФрд░ рддрд╛рдкреАрдп рдЕрднрд┐рдХреНрд░рд┐рдпрд╛рдУрдВ рдкрд░ рдкреНрд░рднрд╛рд╡ рдХреЗ рдмреАрдЪ рдЕрдВрддрд░ рд╕реНрдкрд╖реНрдЯ рдХреАрдЬрд┐рдП ред
Differentiate between the effect of light intensity on photochemical and thermal reactions.
4.
рдПрд▓реНрдХреЗрдиреЛрдВ рдХреА рд╕рдВрд░рдЪрдирд╛ рдЙрдирдХреА рдкреНрд░рдХрд╛рд╢ рд░рд╛рд╕рд╛рдпрдирд┐рдХ рдкреНрд░рддрд┐рдХреНрд░рд┐рдпрд╛рд╢реАрд▓рддрд╛ рдХреЛ рдХреИрд╕реЗ рдкреНрд░рднрд╛рд╡рд┐рдд рдХрд░рддреА рд╣реИ ?
How does the structure of alkenes affect their photochemical reactivity ?
5.
рдмреЗрдВрдЬреАрди рдХреА рдкреНрд░рдХрд╛рд╢ рдкреБрдирд░реНрд╡реНрдпрд╡рд╕реНрдерд╛ рдЕрднрд┐рдХреНрд░рд┐рдпрд╛ рдХрд╛ рд╡рд░реНрдгрди рдХреАрдЬрд┐рдП рддрдерд╛ рд╕рдореНрднрд╛рд╡рд┐рдд рдЙрддреНрдкрд╛рджреЛрдВ рдХреЗ рдирд╛рдо рдмрддрд╛рдЗрдП ред
Describe the photo-rearrangement reaction of benzene and name the possible products.
UV рдкреНрд░рдХрд╛рд╢ рдХреЗ рдЕрдВрддрд░реНрдЧрдд рдПрд▓реНрдХреЗрдиреЛрдВ рдореЗрдВ рд╕рд┐рд╕-рдЯреНрд░рд╛рдВрд╕ рдЖрдЗрд╕реЛрдореЗрд░рд╛рдЗрдЬреЗрд╢рди рдХреНрдпрд╛ рд╣реИ ? рдЙрдкрдпреБрдХреНрдд рдЙрджрд╛рд╣рд░рдг рджреЗрдХрд░ рд╕рдордЭрд╛рдЗрдП ред
Define cis-trans isomerization in alkenes under UV light. Explain with a suitable example.
рдЦрдгреНрдб 'рд╕'
Section C
( рджреАрд░реНрдШ рдЙрддреНрддрд░реАрдп рдкреНрд░рд╢реНрди )
(Long Answer Type Questions)
рдиреЛрдЯ : рд╕рднреА рдкреНрд░рд╢реНрдиреЛрдВ рдХреЗ рдЙрддреНрддрд░ рджреАрдЬрд┐рдП ред
Attempt all questions.
5├Ч10=50
6.
5000 ├Е рддрд░рдВрдЧрджреИрд░реНрдзреНрдп рдХреЗ рдкреНрд░рдХрд╛рд╢ рд╕реЗ рд╡рд┐рдХрд┐рд░рдгрд┐рдд рд╣реЛрдиреЗ рдкрд░ 1 ├Ч 10тБ┤ рдореЛрд▓ рдкрджрд╛рд░реНрде рд╡рд┐рдШрдЯрд┐рдд рд╣реЛрддрд╛ рд╣реИ ред рдпрджрд┐ рдЗрд╕рдХреА рдХреНрд╡рд╛рдВрдЯрдо рджрдХреНрд╖рддрд╛ 10.00 рд╣реИ рддреЛ рдЕрднрд┐рдХреНрд░рд┐рдпрд╛ рдХреЗ рджреМрд░рд╛рди рдХрд┐рддрдиреЗ рдлреЛрдЯреЙрди рдЕрд╡рд╢реЛрд╖рд┐рдд рд╣реЛрдВрдЧреЗ ред (рдПрд╡рдЧрд╛рдбреНрд░реЛ рд╕рдВрдЦреНрдпрд╛ N = 6.02 ├Ч 10┬▓┬│)
When irradiated with light of 5000 ├Е wavelength, 1 ├Ч 10тБ┤ mole of substances is decomposed. How many photons are absorbed during the reaction if its quantum efficiency is 10.00. (Avagadro number N = 6.02 ├Ч 10┬▓┬│)
рдЬреНрдпрд╛рдорд┐рддреАрдп рдкреНрд░рддрд┐рдХреНрд░рд┐рдпрд╛ рдмрдбрд╝реА рдорд╛рддреНрд░рд╛ рдореЗрдВ рд╕реА.рдЖрдИ.рдПрд╕. рдЖрдЗрд╕реЛрдорд░ рдХреНрдпреЛрдВ рджреЗрддреА рд╣реИ ? рд╕рдордЭрд╛рдЗрдпреЗ ред
Why geometrical reaction gives cis isomer in large amount ? Explain it.
рдЕрдерд╡рд╛ (Or)
рдиреЙрд░рд┐рд╢ рдЯрд╛рдЗрдк II рдЕрднрд┐рдХреНрд░рд┐рдпрд╛ рдХреА рдХреНрд░рд┐рдпрд╛рд╡рд┐рдзрд┐ рдмрддрд╛рдЗрдП ред рд╕рдордЭрд╛рдЗрдП рдХрд┐ ╬▓-рд╡рд┐рднрд╛рдЬрди рдЕрднрд┐рдХреНрд░рд┐рдпрд╛рдУрдВ рдХреЗ рд▓рд┐рдП рд╕рд╛рдЗрдХреНрд▓реЛрдкреНрд░реЛрдкрд┐рд▓ рдХреАрдЯреЛрди рд╕рдмрд╕реЗ рд╕рд╛рдорд╛рдиреНрдп рд╡рд░реНрдЧ рдХреЗ рдпреМрдЧрд┐рдХ рдХреНрдпреЛрдВ рд╣реИрдВ ?
Give mechanism of Norrish Type II reaction. Explain why cyclopropyl ketones are the most common class of compound for ╬▓-cleavage reactions ?
7.
рдирд┐рдореНрдирд▓рд┐рдЦрд┐рдд рдкрд░ рд╕рдВрдХреНрд╖рд┐рдкреНрдд рдЯрд┐рдкреНрдкрдгрд┐рдпрд╛рдБ рд▓рд┐рдЦрд┐рдП :
Write short notes on the following :
(рдЕ)
рд╕рд┐рдВрдЧрд▓реЗрдЯ рдФрд░ рдЯреНрд░рд┐рдкреНрд▓реЗрдЯ рдЙрддреНрддреЗрдЬрд┐рдд рдЕрд╡рд╕реНрдерд╛рдПрдБ
Singlet and triplet excited states.
(рдм)
рдЖрдВрддрд░рд┐рдХ рд░реВрдкрд╛рдВрддрд░рдг
Internal conversion.
(рд╕)
рдлреНрд▓реЛрд░реЛрд╕реЗрдВрд╕ рдФрд░ рдлреЙрд╕реНрдлреЛрд░реЗрд╕реЗрдВрд╕
Florescence and phosphorescence.
(рдж)
рдлреЛрдЯреЛрд╕рд┐рдВрд╕рд┐рдЯрд╛рдЗрдЬрд░
Photosensitizer.
(рдЗ)
рдХреНрд╡реЗрдВрдЪрд░реНрд╕
Quenchers.
8.
рдЬреЗрдмреНрд▓реЛрдиреНрд╕реНрдХреА рдЖрд░реЗрдЦ рдХреНрдпрд╛ рджрд░реНрд╢рд╛рддрд╛ рд╣реИ ? рдХрд╛рд░рдг рдмрддрд╛рдЗрдП рдХрд┐ рдкреНрд░рддрд┐рджреАрдкреНрддрд┐ рд╕реНрдкреЗрдХреНрдЯреНрд░рдо рд╣рдореЗрд╢рд╛ рдлреЙрд╕реНрдлреЛрд░реЗрдВрд╕ рдХреА рддреБрд▓рдирд╛ рдореЗрдВ рдХрдо рддрд░рдВрдЧрджреИрд░реНрдзреНрдп рдкрд░ рдХреНрдпреЛрдВ рджреЗрдЦрд╛ рдЬрд╛рддрд╛ рд╣реИ ?
What is Jablonski diagram show. Give reason that the fluorescence spectrum observed always at lower wavelength than the phosphorescence.
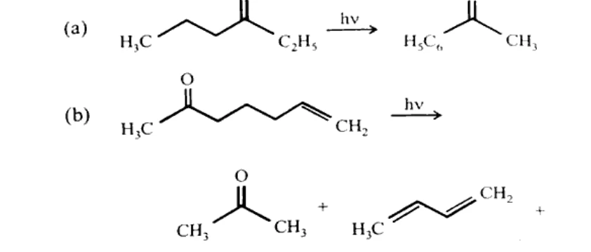
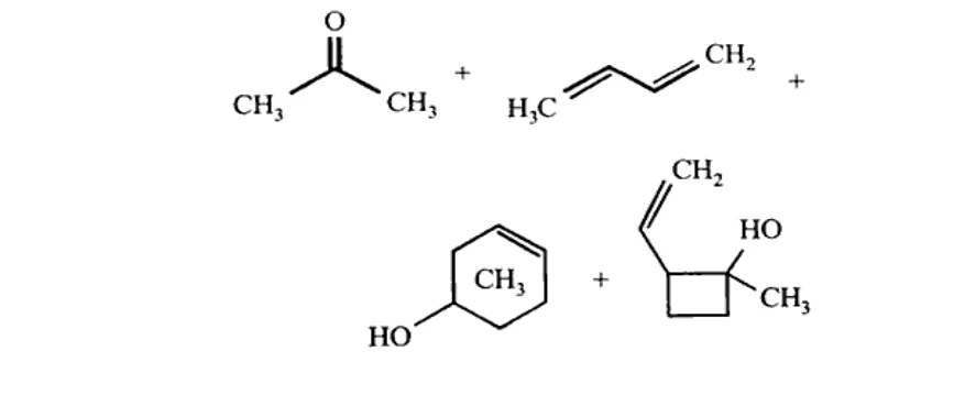
рдирд┐рдореНрдирд▓рд┐рдЦрд┐рдд рдкреНрд░рдХрд╛рд╢ рдЕрднрд┐рдХреНрд░рд┐рдпрд╛рдУрдВ рдХреЗ рд▓рд┐рдП рдХреНрд░рд┐рдпрд╛рд╡рд┐рдзрд┐ рд╕реБрдЭрд╛рдЗрдП :
Suggest mechanism for the following photoreactions :
(рдЕ)

(рдм)




рдЕрдерд╡рд╛ (Or)
рдлреЛрдЯреЛрд░реМрдореИрдЯрд┐рдХ рдиреНрдпреВрдХреНрд▓рд┐рдпреЛрдлрд┐рд▓рд┐рдХ рдкреНрд░рддрд┐рд╕реНрдерд╛рдкрди рдХреЗ рд░рд╕рд╛рдпрди рд╡рд┐рдЬреНрдЮрд╛рди рдкрд░ рдЪрд░реНрдЪрд╛ рдХреАрдЬрд┐рдП ред
Discuss the chemistry of photoaromatic nucleophilic substitution.
9.
рдЙрддреНрддреЗрдЬрд┐рдд рдЕрд╡рд╕реНрдерд╛ рдЕрднрд┐рдХреНрд░рд┐рдпрд╛, рдХрд╛рд░реНрдмрдирд┐рдХ рд░рд╕рд╛рдпрди рд╡рд┐рдЬреНрдЮрд╛рди рдореЗрдВ рд╡рд┐рд╡рд┐рдз рдкреНрд░рдХрд╛рд╢ рд░рд╛рд╕рд╛рдпрдирд┐рдХ рдкрд░рд┐рд╡рд░реНрддрдиреЛрдВ рдХреЗ рдХреНрд░рдо рдХреЛ рдХреИрд╕реЗ рдирд┐рдпрдВрддреНрд░рд┐рдд рдХрд░рддреА рд╣реИ ? рдЕрдкрдиреЗ рд╢рдмреНрджреЛрдВ рдореЗрдВ рд╕рдордЭрд╛рдЗрдпреЗ ред
How excited-state reactivity governs the course of miscellaneous photochemical transformations in organic chemistry ? Explain in your words.
10.
рдиреЙрд░рд┐рд╢ рдЯрд╛рдЗрдк II рдЕрднрд┐рдХреНрд░рд┐рдпрд╛ рдХреА рдХреНрд░рд┐рдпрд╛рд╡рд┐рдзрд┐ рдмрддрд╛рдЗрдП ред рд╕рдордЭрд╛рдЗрдП рдХрд┐ ╬▓-рдХреНрд▓реАрд╡реЗрдЬ рдЕрднрд┐рдХреНрд░рд┐рдпрд╛рдУрдВ рдХреЗ рд▓рд┐рдП рд╕рд╛рдЗрдХреНрд▓реЛрдкреНрд░реЛрдкрд┐рд▓ рдХреАрдЯреЛрди рд╕рдмрд╕реЗ рд╕рд╛рдорд╛рдиреНрдп рд╡рд░реНрдЧ рдХреЗ рдпреМрдЧрд┐рдХ рдХреНрдпреЛрдВ рд╣реИрдВ ?
Give mechanism of Norrish Type II reaction. Explain, why cyclopropyl ketones are the most common class of compound for ╬▓-cleavage reactions ?
рдЕрдерд╡рд╛ (Or)
рдирд┐рдореНрдирд▓рд┐рдЦрд┐рдд рдкрд░ рд╕рдВрдХреНрд╖рд┐рдкреНрдд рдЯрд┐рдкреНрдкрдгрд┐рдпрд╛рдБ рд▓рд┐рдЦрд┐рдП :
Write short notes on the following :
(рдЕ)
1,2 рдкреНрд░рдХрд╛рд╢ рд░рд╛рд╕рд╛рдпрдирд┐рдХ рдпреЛрдЧрд╛рддреНрдордХ рдЕрднрд┐рдХреНрд░рд┐рдпрд╛
1,2 photochemical addition reaction
(рдм)
1,3-рдмреНрдпреВрдЯрд╛рдбреАрди рдХреА рдкреНрд░рдХрд╛рд╢ рд░рд╕рд╛рдпрди рд╢рд╛рд╕реНрддреНрд░ ред
Photochemistry of 1,3-butadiene.
11.
1-2 рдПрд▓реНрдХрд╛рдЗрд▓ рд╢рд┐рдлреНрдЯ рдХреА рдХреНрд░рд┐рдпрд╛рд╡рд┐рдзрд┐ рдкрд░ рдЪрд░реНрдЪрд╛ рдХреАрдЬрд┐рдП :
Discusses the mechanism of 1-2 Alkyl shift by :
(рдЕ)
рдмреЗрдВрдЬрд╛рд╡рд▓реАрди рдордзреНрдпрд╡рд░реНрддреА рджреНрд╡рд╛рд░рд╛
Benzavalene intermediate
(рдм)
рд░рд┐рдорд╛рдиреЗ рдордзреНрдпрд╡рд░реНрддреА ред
Rimane intermediate.
рдЕрдерд╡рд╛ (Or)
рд╡рд╛рдпреБрдордгреНрдбрд▓ рдореЗрдВ NO рдФрд░ NOтВВ рдХреЗ рдкреНрд░рдХрд╛рд╢-рдЕрдкрдШрдЯрди рдХрд╛ рд╡рд░реНрдгрди рдХреАрдЬрд┐рдП ред рдпрд╣ рдУрдЬреЛрди рдирд┐рд░реНрдорд╛рдг рдпрд╛ рдХреНрд╖рдп рдореЗрдВ рдХрд┐рд╕ рдкреНрд░рдХрд╛рд░ рдпреЛрдЧрджрд╛рди рджреЗрддрд╛ рд╣реИ ?
Describe the photolysis of NO and NOтВВ in the atmosphere. How does it contribute to ozone formation or depletion ?
рдЦрдгреНрдб 'рдЕ'
Section A
( рд╡рд╕реНрддреБрдирд┐рд╖реНрда рдкреНрд░рд╢реНрди )
(Objective Type Questions)
рдиреЛрдЯ : рд╕рднреА рдкреНрд░рд╢реНрдиреЛрдВ рдХреЗ рдЙрддреНрддрд░ рджреАрдЬрд┐рдП ред
Attempt all questions.
10├Ч1=10
1.
рд╕рд╣реА рдЙрддреНрддрд░ рдХрд╛ рдЪрдпрди рдХреАрдЬрд┐рдП :
Choose the correct answer :
(i)
рдирд┐рдореНрдирд▓рд┐рдЦрд┐рдд рдореЗрдВ рд╕реЗ рдХреМрди рд╡рд┐рдХрд┐рд░рдг рд╕рдВрдХреНрд░рдордг рд╣реИ ?
Which of the following is radiative transition ?
(ii)
рдирд┐рдореНрдирд▓рд┐рдЦрд┐рдд рдореЗрдВ рд╕реЗ рдЧреИрд░ рд╡рд┐рдХрд┐рд░рдг рдкреНрд░рдХреНрд░рд┐рдпрд╛ рд╣реИ :
Non radiative process from the following is :
(iii)
рддрд╛рдкрдорд╛рди рдХрд╛ рдкреНрд░рдХрд╛рд╢ рд░рд╛рд╕рд╛рдпрдирд┐рдХ рдЕрднрд┐рдХреНрд░рд┐рдпрд╛ рдХреА рджрд░ рдкрд░ ............ рдкреНрд░рднрд╛рд╡ рдкрдбрд╝рддрд╛ рд╣реИ ред
Temperature has ..............effect on the rate of photochemical reaction.
(iv)
HтВВ рдФрд░ CO рдХреЗ рдмреАрдЪ рдЕрднрд┐рдХреНрд░рд┐рдпрд╛, рдЬрд┐рд╕рдХрд╛ рдЙрдкрдпреЛрдЧ рдлреЛрдЯреЛрд╕реЗрдВрд╕рд┐рдЯрд╛рдЗрдЬрд░ рдХреЗ рд░реВрдк рдореЗрдВ рдХрд┐рдпрд╛ рдЬрд╛рддрд╛ рд╣реИ :
Reaction between HтВВ and CO, which is used as a photosensitizer, is :
(v)
рдкреИрдЯрд░реНрдиреЛ-рдмреБрдЪреА рдЕрднрд┐рдХреНрд░рд┐рдпрд╛ рдореЗрдВ рдирд┐рдореНрдирд▓рд┐рдЦрд┐рдд рдХреА рдкрд░рд╕реНрдкрд░ рдХреНрд░рд┐рдпрд╛ рд╢рд╛рдорд┐рд▓ рд╣реЛрддреА рд╣реИ :
The Paterno-Buchi reaction involves the interaction of :
(vi)
рдирд┐рдореНрдирд▓рд┐рдЦрд┐рдд рдЕрднрд┐рдХрд╛рд░рдХреЛрдВ рдореЗрдВ рд╕реЗ рдХреАрдирдорд╛ рд╕рдВрдпреЛрдЬрди рдкреИрдЯрдиреЛ-рдмреБрдЪреА рдЕрднрд┐рдХреНрд░рд┐рдпрд╛ рдореЗрдВ рдСрдХреНрд╕реЗрдЯреЙрди рдирд┐рд░реНрдорд╛рдг рдХрд╛ рдХрд╛рд░рдг рдмрдиреЗрдЧрд╛ ?
Which combination of the following reactants will lead to oxetane formation in the Paterno-Buchi reaction ?
(vii)
рдлреЛрдЯреЛрдХреИрдорд┐рдХрд▓ рдкреНрд░рддрд┐рдХреНрд░рд┐рдпрд╛ рдХреА рдХреНрд╡рд╛рдВрдЯрдо рджрдХреНрд╖рддрд╛ рдХреЛ .......... рдХреЗ рд░реВрдк рдореЗрдВ рдкрд░рд┐рднрд╛рд╖рд┐рдд рдХрд┐рдпрд╛ рдЬрд╛рддрд╛ рд╣реИ ред
The quantum efficiency of a photochemical reaction is defined as.....................
(viii)
рд░реЗрдЯрд┐рдирд╛ рдХрд┐рд╕ рдкреНрд░рдХрд╛рд░ рдХреА рдХреЛрд╢рд┐рдХрд╛рдУрдВ рд╕реЗ рдмрдирд╛ рд╣реЛрддрд╛ рд╣реИ ?
Ret├нna is made up of which type of cells ?
(ix)
............... is also known as Principle of Quantum Activation.
рдЦрдгреНрдб 'рдм'
Section B
( рд▓рдШреБ рдЙрддреНрддрд░реАрдп рдкреНрд░рд╢реНрди )
(Short Answer Type Questions)
рдиреЛрдЯ : рд╕рднреА рдкреНрд░рд╢реНрдиреЛрдВ рдХреЗ рдЙрддреНрддрд░ рджреАрдЬрд┐рдП ред
Attempt all questions.
5├Ч5=25
2.
рд╕рд┐рдВрдЧрд▓реЗрдЯ рдпреБрдЧреНрдорди рдХреЛ рджрд░реНрд╢рд╛рддреЗ рд╣реБрдП рдКрд░реНрдЬрд╛ рд▓реЗрд╡рд▓ рдФрд░ рд╢рдмреНрдж рдкрд░рдорд╛рдгреБ рдСрдХреНрд╕реАрдЬрди рдХрд╛ рд╡рд░реНрдгрди рдХреАрдЬрд┐рдП ред
Describe the energy label and term symbol oxygen atom illustrating the spin orbit coupling.
рдЕрдерд╡рд╛ (Or)
рдлреНрд░реИрдВрдХ-рдХреЙрдбреЛрди рд╕рд┐рджреНрдзрд╛рдВрдд рдХрд╛ рдХреНрд╡рд╛рдВрдЯрдо рдпрд╛рдВрддреНрд░рд┐рдХ рд╕реВрддреНрд░реАрдХрд░рдг рджреАрдЬрд┐рдП ред
Give the quantum mechanical Formulation of Franck-Codon principle.
3.
рдХреНрд╡рд╛рдВрдЯрдо рдпреАрд▓реНрдб рдХреА рд╡реНрдпрд╛рдЦреНрдпрд╛ рдХреАрдЬрд┐рдП ред рдкреНрд░рдХрд╛рд╢ рд░рд╛рд╕рд╛рдпрдирд┐рдХ рдЕрднрд┐рдХреНрд░рд┐рдпрд╛рдУрдВ рдХреА рдЙрдЪреНрдЪ рдФрд░ рдирд┐рдореНрди рдХреНрд╡рд╛рдВрдЯрдо рдпреАрд▓реНрдб рдХрд╛ рдХрд╛рд░рдг рдмрддрд╛рдЗрдП ред
Explain the quantum yield. Give the cause of high and low quantum yield of photochemical reactions.
(x)
рдЬрдм рдкрджрд╛рд░реНрде рдХрд╛ рдПрдХ рдореЛрд▓ 6.022 ├Ч 10┬▓┬│ рдлреЛрдЯреЙрди рдЕрд╡рд╢реЛрд╖рд┐рдд рдХрд░рдХреЗ рдкреНрд░рддрд┐рдХреНрд░рд┐рдпрд╛ рдХрд░рддрд╛ рд╣реИ рддреЛ рдХреНрд╡рд╛рдВрдЯрдо рдЙрдкрдЬ рдХреНрдпрд╛ рд╣реЛрдЧреА ?
What will be the quantum yield when one mole of substance reacts by absorbing 6.022 ├Ч 10┬▓┬│ Photons ?