Download Original PDF

Get the official Barkatullah University print version scanned document.

Download/Print

ЁЯдЭ Help Your Juniors!

Have previous year question papers that aren't on our website? Help the next batch of students by sending them to us! With your consent, we will proudly feature your name as a Top Contributor on our platform.

Submit Papers ЁЯУй

Roll No. ..........................

(i)

Which of the following transitions is the
lowest energy transition ?

Total No. of Questions: 11]

[Total No. of Printed Pages: 15

(a) n to ╧Г*

KLтАФ435

(b) n to ╧А*

M. Sc. (Sem. IV)

(c) ╧Г to ╧Г*

Regular/ATKT/Old ATKT/EX

(d) ╧А to ╧А*.

Examination - May, 2023

рдирд┐рдореНрдирд▓рд┐рдЦрд┐рдд рдореЗрдВ рд╕реЗ рдХреМрди-рд╕реЗ рд╕рдВрдХреНрд░рдордг рд╕рдмрд╕реЗ рдХрдо

рдКрд░реНрдЬрд╛ рдХреЗ рд╣реЛрддреЗ рд╣реИрдВ ?

CHEMISTRY

Paper I

(рдЕ) n рд╕реЗ ╧Г*

Application for Spectroscopy

(рдм) n рд╕реЗ ╧А*

(рд╕) ╧Г рд╕реЗ ╧Г*

Time : 3 Hours

Maximum Marks : 85

(рдж) ╧А рд╕реЗ ╧А*

Minimum Pass Marks : 31

(ii)

Choose one IR frequency for уАЙC = O

Note : Attempt all questions.

рд╕рднреА рдкреНрд░рд╢реНрдиреЛрдВ рдХреЗ рдЙрддреНрддрд░ рджреАрдЬрд┐рдП ред

group :

Section A

1x10=10

(a) 2900 cm-1

рдЦрдгреНрдб 'рдЕ'

(b) 3300 cm-1

Objective Type Questions

(c) 1725 cm-1

рд╡рд╕реНрддреБрдирд┐рд╖реНрда рдкреНрд░рд╢реНрди

1.

Choose the correct answer :

(d) 1100 cm-1

рд╕рд╣реА рдЙрддреНрддрд░ рдХрд╛ рдЪрдпрди рдХреАрдЬрд┐рдП :

рдирд┐рдореНрдирд▓рд┐рдЦрд┐рдд рдореЗрдВ рд╕реЗ уАЙC = O рд╕рдореВрд╣ рдХреЗ рд▓рд┐рдП

рдЗрдиреНрдлреНрд░рд╛рд░реЗрдб рдЖрд╡реГрддреНрддрд┐ рдХрд╛ рдЪрдпрди рдХреАрдЬрд┐рдП :

(рдЕ) 2900 рд╕реЗрдореА.-1

(рдм) 3300 рд╕реЗрдореА.-1

(рд╕) 1725 рд╕реЗрдореА.-1

(рдж) 1100 рд╕реЗрдореА.-1

(iii)

The NMR spectra of CH4 and C6H6
exhibit :

(a) Singlet

(b) Doublet

(c) Triplet

(d) Quintlet

CH4 рдПрд╡рдВ C6H6 NMR рд╕реНрдкреЗрдХреНрдЯреНрд░рд╛ рдореЗрдВ рдмрддрд╛рддреЗ
рд╣реИрдВ :

(рдЕ) рд╕рд┐рдВрдЧрд▓реЗрдЯ

(рдм) рдбрдмрд▓рдЯ

(рд╕) рдЯреНрд░рд┐рдкрд▓реЗрдЯ

(рдж) рдХреНрдпреВрдирд▓реЗрдЯ

(iv)

Which of the following bonds would show
the strongest absorption in IR ?

(a) C-H

(b) O-H

(c) N-H

(d) S-H

рдирд┐рдореНрдирд▓рд┐рдЦрд┐рдд рдореЗрдВ рд╕реЗ рдХреМрди-рд╕рд╛ рдмрдиреНрдз IR рдореЗрдВ рд╕рдмрд╕реЗ
рдЬреНрдпрд╛рджрд╛ рдЕрд╡рд╢реЛрд╖рдг рджрд░реНрд╢рд╛рддрд╛ рд╣реИ ?

(рдЕ) C-H

(рдм) O-H

(рд╕) N-H

(рдж) S-H

(v)

In NQR, n is a measure of :

(a) Spin

(b) Coupling

(c) Symmetry

(d) None of the above

n, NQR рдореЗрдВ рдорд╛рдк рд╣реИ :

(рдЕ) рд╕реНрдкрд┐рди рдХреА

(рдм) рдпреБрдЧреНрдорди рдХреА

(рд╕) рд╕рдорд░реВрдкрддрд╛ рдХреА

(рдж) рдЙрдкрд░реНрдпреБрдХреНрдд рдореЗрдВ рд╕реЗ рдХреЛрдИ рдирд╣реАрдВ

(vi)

The peak with maximum abundance in mass
spectroscopy is called :

(a) Parent ion peak

(b) Rearrangement ion peak

(c) Metastable ion peak

(d) Base peak

рдорд╛рд╕ рд╕реНрдкреЗрдХреНрдЯреНрд░реЛрд╕реНрдХреЛрдкреА рдореЗрдВ рд╡рд╣ рдЪреЛрдЯреА рдЬрд╣рд╛рдБ рдЕрдзрд┐рдХрддрдо
рдкреНрд░рдЪреБрд░рддрд╛ рд╣реЛрддреА рд╣реИ, рдХрд╣рд▓рд╛рддрд╛ рд╣реИ :

(рдЕ) рдЕрднрд┐рднрд╛рд╡рдХ рдЖрдпрди рдЪреЛрдЯреА

(рдм) рд╡реНрдпрд╡рд╕реНрдерд┐рдд рдЖрдпрди рдЪреЛрдЯреА

(рд╕) рдореЗрдЯрд╛рд╕реНрдЯреЗрдмрд▓ рдЖрдпрди рдЪреЛрдЯреА

(рдж) рдЖрдзрд╛рд░ рдЪреЛрдЯреА

(vii)

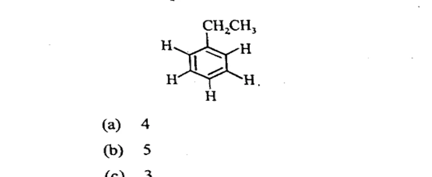
How many types of hydrogen are present
in the compound ?

Diagram for Question

(a) 4

(b) 5

(c) 3

(d) 6

рдирд┐рдореНрдирд▓рд┐рдЦрд┐рдд рдпреМрдЧрд┐рдХ рдореЗрдВ рдХрд┐рддрдиреЗ рд╣рд╛рдЗрдбреНрд░реЛрдЬрди рдЙрдкрд╕реНрдерд┐рдд
рд╣реЛрддреЗ рд╣реИрдВ ?

Diagram for Question

(рдЕ) 4

(рдм) 5

(рд╕) 3

(рдж) 6

(viii)

Which of the following compounds
give their molecular ion at even mass
numbers ?

(a) CH4

(b) CH3OH

(c) C6H5OH

(d) All of the above

рдирд┐рдореНрдирд▓рд┐рдЦрд┐рдд рдпреМрдЧрд┐рдХреЛрдВ рдореЗрдВ рд╕реЗ рдХреМрди-рд╕рд╛ рдпреМрдЧрд┐рдХ рдХрд╛
рдЕрдгреБ рдЖрдпрди рдкрд░ рд╡рд┐рд╖рдо рджреНрд░рд╡реНрдпрдорд╛рди рд╕рдВрдЦреНрдпрд╛ рджреЗрддрд╛ рд╣реИ ?

(рдЕ) CH4

(рдм) CH3OH

(рд╕) C6H5OH

(рдж) рдЙрдкрд░реНрдпреБрдХреНрдд рд╕рднреА

(ix)

Nitrogen rule applies to all covalent
compounds containing :

(a) Carbon

(b) Hydrrogen

(c) Both (a) and (b)

(d) None of the above

рдирд╛рдЗрдЯреНрд░реЛрдЬрди рдирд┐рдпрдо рд╕рднреА рд╕рдВрдпреЛрдЬреА рдпреМрдЧрд┐рдХреЛрдВ рдкрд░ рд▓рд╛рдЧреВ
рд╣реЛрддрд╛ рд╣реИ :

(рдЕ) рдХрд╛рд░реНрдмрди

(рдм) рд╣рд╛рдЗрдбреНрд░реЛрдЬрди

(рд╕) рджреЛрдиреЛрдВ (рдЕ) рдФрд░ (рдм)

(рдж) рдЙрдкрд░реНрдпреБрдХреНрдд рдореЗрдВ рд╕реЗ рдХреЛрдИ рдирд╣реАрдВ

(x)

Which of the following molecules are
microwaves or infrared active ?

(a) HCl

(b) HCN

(c) OCS

(d) All of the above

рдирд┐рдореНрдирд▓рд┐рдЦрд┐рдд рдореЗрдВ рд╕реЗ рдХреМрди-рд╕реЗ рдЕрдгреБ рд╕реВрдХреНрд╖реНрдорддрд░рдВрдЧ рдпрд╛
рдЕрд╡рд░рдХреНрдд рд╕рдХреНрд░рд┐рдп рд╣реИрдВ ?

(рдЕ) HCl

(рдм) HCN

(рд╕) OCS

(рдж) рдЙрдкрд░реНрдпреБрдХреНрдд рд╕рднреА

Section B

5x5=25

4.

Write the two applications of NMR.

рдЦрдгреНрдб 'рдм'

NMR рдХреЗ рджреЛ рдЕрдиреБрдкреНрд░рдпреЛрдЧ рд▓рд┐рдЦрд┐рдП ред

Short Answer Type Questions

рд▓рдШреБ рдЙрддреНрддрд░реАрдп рдкреНрд░рд╢реНрди

Or

(рдЕрдерд╡рд╛)

Write a short note on 195Pt NMR.

195Pt NMR рдкрд░ рд╕рдВрдХреНрд╖рд┐рдкреНрдд рдЯрд┐рдкреНрдкрдгреА рд▓рд┐рдЦрд┐рдП ред

2.

Discuss the UV spectra of Butadiene.

рдмреНрдпреВрдЯрд╛рдбрд╛рдЗрди рдХреЗ UV рд╕реНрдкреЗрдХреНрдЯреНрд░рд╛ рдХреЛ рд╕рдордЭрд╛рдЗрдП ред

Or

(рдЕрдерд╡рд╛)

Explain the different types of electronic
transitions.

рд╡рд┐рднрд┐рдиреНрди рдкреНрд░рдХрд╛рд░ рдХреЗ рдЗрд▓реЗрдХреНрдЯреНрд░реЙрдирд┐рдХ рд╕рдВрдХреНрд░рдордгреЛрдВ рдХреЛ рд╕рдордЭрд╛рдЗрдП ред

5.

Write note on any one of the following :

(a) Chemical shift

(b) Coupling constant

рдирд┐рдореНрдирд▓рд┐рдЦрд┐рдд рдореЗрдВ рд╕реЗ рдХрд┐рд╕реА рдПрдХ рдкрд░ рдЯрд┐рдкреНрдкрдгреА рд▓рд┐рдЦрд┐рдП :

(рдЕ) рд░рд╛рд╕рд╛рдпрдирд┐рдХ рд╡рд┐рд╕реНрдерд╛рдкрди

(рдм) рдпреБрдЧреНрдорди рд╕реНрдерд┐рд░рд╛рдВрдХ

3.

Explain the effect of hydrogen bonding on
vibrational frequencies.

рдХрдВрдкрди рдЖрд╡реГрддреНрддрд┐рдпреЛрдВ рдкрд░ рд╣рд╛рдЗрдбреНрд░реЛрдЬрди рдмрдиреНрдз рдХреЗ рдкреНрд░рднрд╛рд╡ рдХреЛ
рд╕рдордЭрд╛рдЗрдП ред

Or

(рдЕрдерд╡рд╛)

Write the characteristic vibrational frequencies
of alcohols and ketones.

рдПрд▓реНрдХреЛрд╣реЙрд▓ рдПрд╡рдВ рдХреАрдЯреЛрди рдХреА рд╡рд┐рд╢рд┐рд╖реНрдЯ рдХрдореНрдкрди рдЖрд╡реГрддреНрддрд┐рдпреЛрдВ
рдХреЛ рд▓рд┐рдЦрд┐рдП ред

6.

Draw the mass spectra of 2-Butanol.

2-рдмреНрдпреВрдЯреЗрдиреЙрд▓ рдХрд╛ рджреНрд░рд╡реНрдпрдорд╛рди рд╕реНрдкреЗрдХреНрдЯреНрд░рд╛ рдХрд╛ рдЪрд┐рддреНрд░ рдмрдирд╛рдЗрдП ред

Or

(рдЕрдерд╡рд╛)

Explain the metastable peak.

рдореЗрдЯрд╛рд╕реНрдЯреЗрдмрд▓ рдЪреЛрдЯреА рдХреЛ рд╕рдордЭрд╛рдЗрдП ред

Section C

10x5=50

(d)

Diagram for Question

рдЦрдгреНрдб 'рд╕'

(e)

Diagram for Question

Long Answer Type Questions

рджреАрд░реНрдШ рдЙрддреНрддрд░реАрдп рдкреНрд░рд╢реНрди

7.

Illustrate the Fieser-Woodward's rules for
conjugated and carbonyl compounds.

рдирд┐рдореНрдирд▓рд┐рдЦрд┐рдд рдпреМрдЧрд┐рдХреЛрдВ рдХреЗ рд▓рд┐рдП ╬╗max рдХреА рдЧрдгрдирд╛
рдХреАрдЬрд┐рдП :

рд╕рдВрдпреБрдЧреНрдорд┐рдд рддрдерд╛ рдХрд╛рд░реНрдмреЛрдирд┐рд▓ рдпреМрдЧрд┐рдХреЛрдВ рдХреЗ рд▓рд┐рдП рдлреАрдЬрд░-рд╡реБрдбрд╡рд░реНрдб
рдХреЗ рдирд┐рдпрдореЛрдВ рдХреЛ рд╕рдордЭрд╛рдЗрдП ред

Or

(рдЕрдерд╡рд╛)

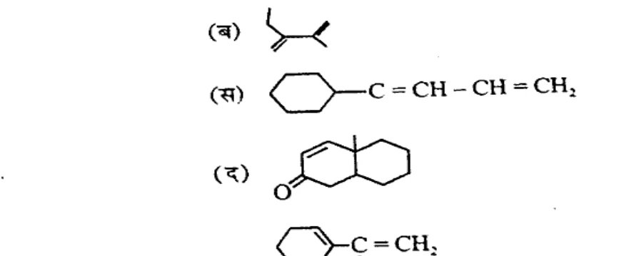
Calculate the ╬╗max for the following
compounds :

(a)

Diagram for Question

(b)

Diagram for Question

(c)

Diagram for Question

(рдЕ)

Diagram for Question

(рдм)

Diagram for Question

(рд╕)

Diagram for Question

(рдж)

Diagram for Question

(рдЗ)

Diagram for Question

Or

(рдЕрдерд╡рд╛)

Discuss the application of NMR spectroscopy
in Biochemical System.

рдЬреИрд╡рд┐рдХ рддрдиреНрддреНрд░ рдореЗрдВ NMR рд╕реНрдкреЗрдХреНрдЯреНрд░реЛрд╕реНрдХреЛрдкреА рдХреЗ рдЕрдиреБрдкреНрд░рдпреЛрдЧ рдХреЛ
рд╕рдордЭрд╛рдЗрдП ред

8.

Discuss various factors on which fundamental
vibrational frequency depends.

рдореВрд▓рднреВрдд рдХрдВрдкрди рдЖрд╡реГрддреНрддрд┐ рдкрд░ рдирд┐рд░реНрднрд░ рд░рд╣рдиреЗ рд╡рд╛рд▓реЗ рд╡рд┐рднрд┐рдиреНрди
рдХрд╛рд░рдХреЛрдВ рдХрд╛ рд╡рд░реНрдгрди рдХреАрдЬрд┐рдП ред

Or

(рдЕрдерд╡рд╛)

Write notes on the following :

(a) Vibrational frequencies of Lactoms

(b) Various types of vibrational modes

рдирд┐рдореНрдирд▓рд┐рдЦрд┐рдд рдкрд░ рдЯрд┐рдкреНрдкрдгрд┐рдпрд╛рдБ рд▓рд┐рдЦрд┐рдП :

(рдЕ) рд▓реЗрдХреНрдЯрдо рдХреА рд╡рд┐рднрд┐рдиреНрди рдХрдВрдкрди рдЖрд╡реГрддреНрддрд┐рдпрд╛рдБ

(рдм) рд╡рд┐рднрд┐рдиреНрди рдкреНрд░рдХрд╛рд░ рдХреЗ рдХрдВрдкрди рдореЛрдб

10.

Explain the following two-dimensional NMR
spectroscopy (any two) :

(a) COSY

(b) NOESY

(c) DEPT

(d) HMBC

рдирд┐рдореНрдирд▓рд┐рдЦрд┐рдд рджреНрд╡рд┐рдЖрдпрд╛рдореА NMR рд╕реНрдкреЗрдХреНрдЯреНрд░реЛрд╕реНрдХреЛрдкреА рдХреЛ рд╕рдордЭрд╛рдЗрдП
(рдХреЛрдИ рджреЛ) :

(рдЕ) COSY

(рдм) NOESY

(рд╕) DEPT

(рдж) HMBC

9.

Give detailed explanation of 119Sn NMR of
metallic nuclide.

рдзрд╛рддрд╡рд┐рдХ рдирд╛рднрд┐рдХ рдХреЗ 119Sn NMR рдХрд╛ рд╡рд┐рд╕реНрддреГрдд рд╡рд░реНрдгрди
рдХреАрдЬрд┐рдП ред

11.

Write notes on the following :

(a) McLafferty rearrangement

(b) Nitrogen rule

рдирд┐рдореНрдирд▓рд┐рдЦрд┐рдд рдкрд░ рдЯрд┐рдкреНрдкрдгрд┐рдпрд╛рдБ рд▓рд┐рдЦрд┐рдП :

(рдЕ) рдореИрдХреН рд▓рдлрд░реНрдЯреА рдкреБрдирд░реНрд╡реНрдпрд╡рд╕реНрдерд╛

(рдм) рдирд╛рдЗрдЯреНрд░реЛрдЬрди рдирд┐рдпрдо

Or

(рдЕрдерд╡рд╛)

Explain the different types of fragment ions
produced in Mass Spectroscopy.

рдорд╛рд╕ рд╕реНрдкреЗрдХреНрдЯреНрд░реЛрд╕реНрдХреЛрдкреА рдореЗрдВ рдмрдирдиреЗ рд╡рд╛рд▓реЗ рд╡рд┐рднрд┐рдиреНрди рдкреНрд░рдХрд╛рд░ рдХреЗ
рд╡рд┐рдЦрдгреНрдбрд┐рдд рдЖрдпрдиреЛрдВ рдХрд╛ рд╡рд░реНрдгрди рдХреАрдЬрд┐рдП ред